Коммунальное государственное учреждение
«Общеобразовательная школа №55»
Управления образования города Алматы
Телефон приемного:
+7(727) 375-47-54
Телефон бухгалтерия:
+7(727) 375-44-68
eOtinish.kz
_
Версия
для слабовидящих
Авторизация
kitaphana.edu.kz
digitallibrary.kz
bookfund.kz
Главная
Информация
Читающая школа - Читающая нация
Аттестация
Школьный театр
О школе
Наши достижения
Наша история
Администрация
Преподаватели
Родителям
Методика и опыт
Нормативные документы
ТВ-Видео
Контакты
Мероприятия
Школьникам
Расписание уроков
ЕНТ
Достижение школьников
Питание
План потребительских услуг и товаров
Открытый конкурс
Бракеражная коммиссия
Договора по питанию
Открытый бюджет
Индивидуальный план финансирования
Основные показатели финансовой деятельности
План государственных закупок
Отчет о доходах и расходах
Утвержденный бюджет
Открытый орган
Противодействие коррупции
Попечительский совет
Государственные услуги
Найти
КГУ «Общеобразовательная школа №55» Управления образования г.Алматы
»
Открытый бюджет
»
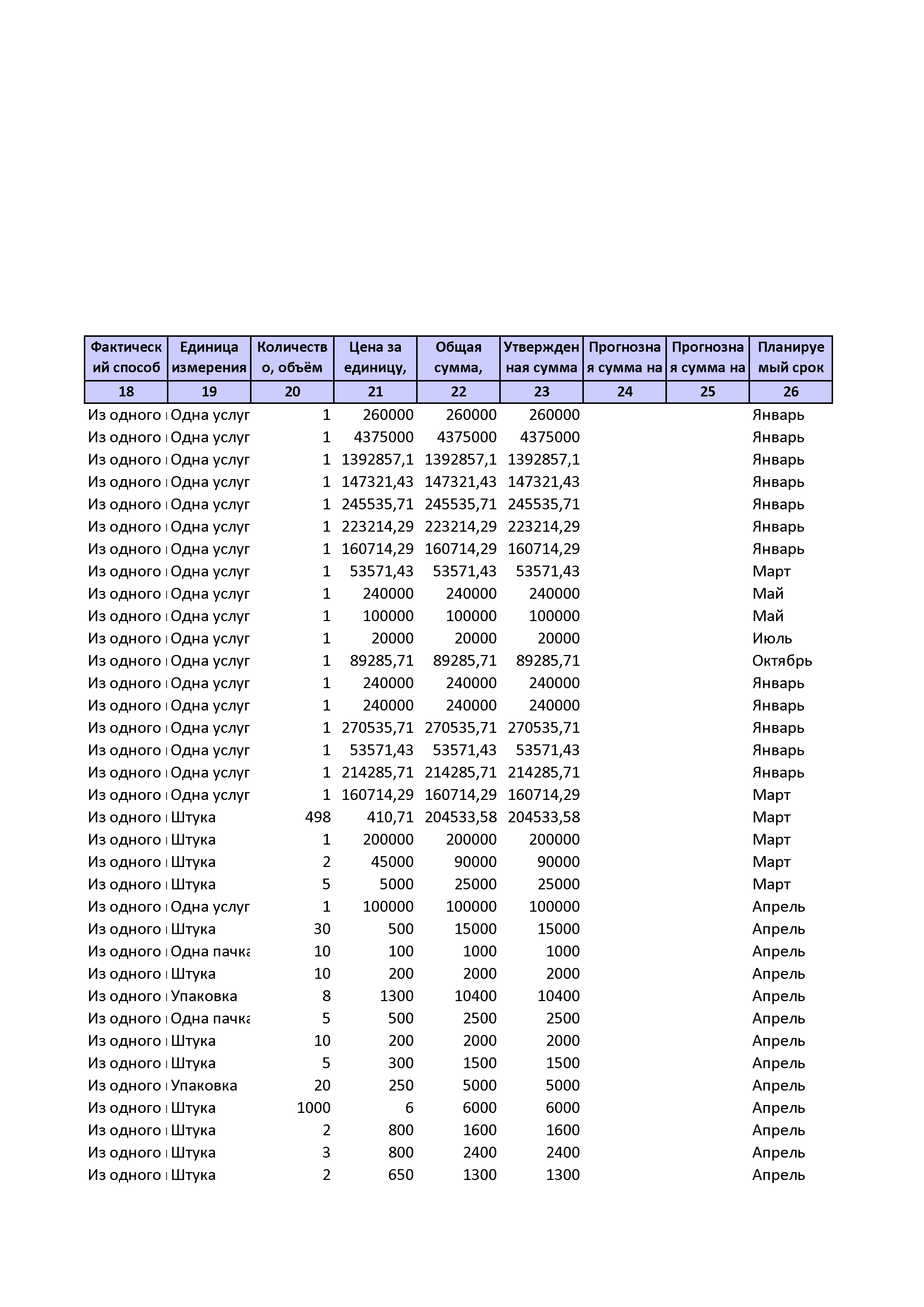
План государственных закупок
» План государственных закупок
29
май
2019
0
1
2
3
4
5
План государственных закупок
Похожие публикации:
11 январь 2019
План гос закупа 2019
18 декабрь 2018
Годовой План 2018
04 сентябрь 2018
Сыбайлас жемқорлыққа қарсы стандарты Антикоррупционный стандарт КГУ ОШ №55
29 август 2018
Стандарты государственных услуг
09 ноябрь 2016
План мероприятия "Детство без жестокости и насилия"
Авторизация
Войти на сайт
Чужой компьютер
Забыли пароль?
Регистрация